英文名稱:Bicyclo(3.1.1)hept-2-ene, 2,6,6-trimethyl-, polymer with 6,6-dimethyl-2-methylenebicyclo(3.1.1)heptane
分子式:
分子量:
英文名稱:1-cyclopentyl-1-phenylethane-1,2-diol
分子式:C13H18O2
分子量:206.28
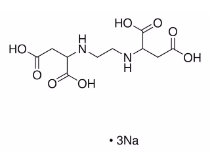
英文名稱:(S,S)-Ethylenediamine-N,N'-disuccinic Acid Trisodium Salt
分子式:C10H13N2Na3O8
分子量:358.19
英文名稱:2,4,5,6-Tetrakis(2,7-bis(trifluoromethyl)-9H-carbazol-9-yl)isophthalonitrile
分子式:C64H24F24N6
分子量:1332.88